Федеральная служба по экологическому, технологическому и атомному надзору.
Утверждено приказом Федеральной службы по экологическому, технологическому и атомному и атомному надзору от 22 марта 2022 г. № 84.
Динамический мониторинг строительных конструкций объектов использования атомной энергии. РБ-045-22
Введено в действие с 22 марта 2022 г.
© Москва 2022.
Руководство по безопасности при использовании атомной энергии «Динамический мониторинг строительных конструкций объектов использования атомной энергии». РБ-045-22
Руководство по безопасности при использовании атомной энергии «Динамический мониторинг строительных конструкций объектов использования атомной энергии» (РБ-045-22) (далее — Руководство по безопасности) разработано в соответствии с требованиями пункта 5.2 НП-064-17 «Учёт внешних воздействий природного и техногенного происхождения на объекты использования атомной энергии», утвержденных приказом Федеральной службы по экологическому, технологическому и атомному надзору от 30 ноября 2017 г. № 514.
Руководство по безопасности содержит рекомендации Федеральной службы по экологическому, технологическому и атомному надзору по организации, целям, и проведению мониторинга динамических характеристик строительных конструкций зданий и сооружений объектов использования атомной энергии неразрушающими сейсмоакустическими методами (метод микросейсм).
Руководство по безопасности предназначено для применения организациями, эксплуатирующими объекты использования атомной энергии, оказывающими услуги по мониторингу и обследованию строительных конструкций зданий и сооружений объектов использования атомной энергии, а также разрабатывающими материалы обоснования безопасности для получения лицензии на размещение, сооружение, эксплуатацию и вывод из эксплуатации объектов использования атомной энергии.
Разработаны в ФБУ «НТЦ ЯРБ» при участии Есенова А. В., Коваля С. В., Кузьминова А. В., Родина П. А., Сидорова Н. М., Югай Т. З. При разработке учтены замечания и предложения 5 Управления Ростехнадзора, Донского МТУ по надзору за ЯРБ Ростехнадзора, АО «Концерн Росэнергоатом» Технологический филиал, АО «ВНИИАЭС».
1. Руководство по безопасности при использовании атомной энергии «Динамический мониторинг строительных конструкций объектов использования атомной энергии» (РБ-045-22) (далее — Руководство по безопасности) разработано в соответствии со статьей 6 Федерального закона от 21 ноября 1995 г. № 170-ФЗ «Об использовании атомной энергии» в целях содействия соблюдению требований пункта 5.2 федеральных норм и правил в области использования атомной энергии «Учет внешних воздействий природного и техногенного происхождения на объекты использования атомной энергии» (НП-064-17), утвержденных приказом Федеральной службы по экологическому, технологическому и атомному надзору от 30 ноября 2017 г. № 514 (зарегистрирован Министерством юстиции Российской Федерации 26 декабря 2017 г., регистрационный № 49461).
2. Настоящее Руководство по безопасности содержит рекомендации Федеральной службы по экологическому, технологическому и атомному надзору по организации, целям, и проведению мониторинга динамических характеристик строительных конструкций зданий и сооружений объектов использования атомной энергии неразрушающими сейсмоакустическими методами (метод микросейсм).
3. Действие настоящего Руководства по безопасности распространяется на деятельность в области использования атомной энергии, связанную с вводом в эксплуатацию, эксплуатацией и продлением назначенного срока эксплуатации объектов использования атомной энергии. На этапе ввода в эксплуатацию объектов использования атомной энергии динамический мониторинг рекомендуется выполнять на вновь возводимых объектах использования атомной энергии, так как в этом случае будут получены исходные данные, необходимые для сравнения и получения полной информации для дальнейшего динамического мониторинга.
4. Настоящее Руководство по безопасности предназначено для применения организациями, эксплуатирующими объекты использования атомной энергии, оказывающими услуги по мониторингу и обследованию строительных конструкций зданий и сооружений объектов использования атомной энергии, а также разрабатывающими материалы обоснования безопасности для получения лицензии на размещение, сооружение, эксплуатацию и вывод из эксплуатации объектов использования атомной энергии.
5. К строительным конструкциям зданий и сооружений объектов использования атомной энергии, рассматриваемым в настоящем Руководстве по безопасности, рекомендуется относить несущие и ограждающие железобетонные (монолитные, сборные и сборно-монолитные), бетонные, каменные и армокаменные, а также металлические (металлические фермы, колонны, ригели) строительные конструкции.
6. Рекомендации настоящего Руководства по безопасности распространяются на следующие стадии работ, выполняемых в обеспечение расчетно-экспериментальной оценки прочности и стойкости зданий и сооружений объектов использования атомной энергии:
· формирование данных по результатам обследования строительных конструкций зданий и сооружений;
· формирование данных по результатам вибродинамических и волновых испытаний строительных конструкций зданий и сооружений;
· создание расчетной модели здания (сооружения) на основе анализа проектных решений;
· адаптация расчетной модели на основе данных вибродинамических и волновых испытаний;
· мониторинг изменения (стабильности) динамических характеристик.
7. Список сокращений приведен в приложении № 1 к настоящему Руководству по безопасности.
8. Динамический мониторинг ЗиС ОИАЭ рекомендуется проводить с целью:
· контроля изменения определяющих динамических параметров во времени для прогнозирования прочности и устойчивости СК ЗиС ОИАЭ;
· отслеживания степени и скорости изменения технического состояния объекта и принятия, в случае необходимости, экстренных мер по предотвращению аварийной ситуации.
9. При динамическом мониторинга рекомендуется выполнить следующие задачи:
· определение динамических характеристик ЗиС и отдельных СК;
· оценка состояния материалов СК сейсмоакустическими методами;
· контроль изменения (стабильности) динамических характеристик, а также состояния материалов конструкции во времени.
10. Исследования динамических характеристик СК, важных для безопасности, рекомендуется проводить на этапе ввода ОИАЭ в эксплуатацию и в дальнейшем не реже одного раза в 10 лет, а также при каждом внеочередном обследовании технического состояния этих СК.
11. Динамический мониторинг СК ЗиС ОИАЭ, находящихся в работоспособном состоянии, рекомендуется проводить один раз в 10 лет. Для проведения динамического мониторинга на конкретном этапе рекомендуется проводить виброиспытания СК с целью получения значений основных динамических характеристик и их сравнения со значениями, полученными на предыдущем этапе.
12. Динамический мониторинг СК ЗиС ОИАЭ, находящихся в ограниченно-работоспособном состоянии, рекомендуется проводить в периоды, определяемые состоянием СК по параметрам, контролируемым стационарными системами автоматического мониторинга за состоянием СК ЗиС. Для проведения динамического мониторинга на данном этапе рекомендуется проводить комплексные работы, включающие виброиспытания для получения значений основных динамических характеристик, и испытания методом поверхностных волн и сквозного прозвучивания для получения значений прочности и стойкости несущих и ограждающих СК.
13. Организацию и проведение динамического мониторинга ЗиС и их отдельных СК рекомендуется осуществлять в несколько этапов:
· создание первичной (исходной) базы данных;
· разработка программы динамического мониторинга;
· разработка методики определения динамических характеристик СК;
· определение динамических характеристик подлежащих обследованию СК;
· оценка состояния материалов обследуемых СК;
· разработка технического отчета по результатам динамического мониторинга, включающего анализ результатов наблюдений и диагностики динамических параметров СК;
· разработка технического заключения по результатам испытаний и материалов для учета в расчетной модели (при ее наличии);
· ввод полученных результатов в информационную систему управления базой данных динамического мониторинга на каждом очередном этапе динамического мониторинга в форме представления информации, идентичной заключению.
14. Динамический мониторинг технического состояния СК ЗиС ОИАЭ рекомендуется проводить в соответствии с программой динамического мониторинга, разработанной специализированной организацией в соответствии с техническим заданием, утвержденным руководством обследуемого объекта и согласованной с генеральным проектировщиком.
15. Порядок, методику и объем исследований по динамическому мониторингу СК, важных для безопасности, рекомендуется устанавливать в программе динамического мониторинга.
Рекомендации к структуре и содержанию программы динамического мониторинга приведены в приложении № 2 к настоящему Руководству по безопасности.
16. Динамические характеристики ЗиС и отдельных СК рекомендуется определять с целью оценки их состояния, учета в расчетных моделях и последующего мониторинга их изменения (стабильности) во времени, при этом рекомендуется определять следующие динамические характеристики СК:
· собственные частоты (определяются по спектрам или амплитудно-частотным характеристикам);
· формы собственных колебаний (моды), соответствующие выявленным собственным частотам (определяются путем построения эпюр и диаграмм колебаний в точках измерения);
· логарифмический декремент (определяется как отношение двух последовательных амплитуд колеблющейся величины x в одну и ту же сторону).
17. Оценку состояния материалов обследуемых СК рекомендуется выполнять как для прямой оценки жесткостных и прочностных характеристик несущих СК, так и для их использования в качестве дополнительной информации при разработке и адаптации расчетных моделей.
18. Для толстостенных СК с односторонним доступом к их поверхности (в частности СК «горячих» помещений энергоблоков с реакторной установкой РБМК-1000) динамический мониторинг рекомендуется выполнять методом поверхностных упругих волн.
19. По результатам динамического мониторинга рекомендуется разработать техническое заключение и (или) технический отчет, включаемый в паспорт ЗиС ОИАЭ, рекомендуемая форма которых приведена в приложении № 3 к настоящему Руководству по безопасности.
20. При выполнении периодического мониторинга рекомендуется применять упрощенную схему испытаний с установкой датчика (или датчиков) в точке максимальной амплитуды контролируемых форм собственных колебаний. Решение о целесообразности и объеме испытаний методом поверхностной волны при периодическом мониторинге рекомендуется принимать по результатам оценки состояния конструкций.
21. Для динамического мониторинга рекомендуется использовать стандартизованное и метрологически аттестованное оборудование, поверенное или калиброванное в порядке, установленном законодательством Российской Федерации (перечень и технические характеристики аппаратуры, входящей в измерительный комплекс, приведен в таблице № 1.1 приложения № 4 к настоящему Руководству по безопасности).
22. В ходе динамического мониторинга при проведении вибродинамических испытаний рекомендуется контролировать следующие определяющие динамические параметры собственных колебаний СК:
· собственные частоты (отношение двух обобщенных характеристик массы и жесткости);
· формы собственных колебаний;
· логарифмический декремент собственных колебаний;
· физико-механические свойства материала;
· фактические геометрические размеры сечений конструкций при сопоставлении их с проектными параметрами;
· соответствие фактической и расчетной статической схемы работы конструкций;
· наличие трещин, отколов и разрушений;
· месторасположение, характер и ширина раскрытия трещин.
23. В ходе динамического мониторинга изменения состояния СК и здания, сооружения в целом рекомендуется отслеживать преимущественно по их динамическим характеристикам (изменению частот 1-го тона колебаний и отдельных высших форм колебаний).
24. В отдельных точках СК рекомендуется контролировать состояние материалов конструкций методом поверхностной волны. В этом случае в техническое заключение рекомендуется включать выводы о состоянии материалов конструкции в этих точках, и прилагаются дисперсионные кривые поверхностных волн, полученные при первичном обследовании, а затем на каждом этапе мониторинга.
25. По результатам оценки технического состояния СК ЗиС ОИАЭ рекомендуется назначать критерии технического состояния СК. Основным критерием при динамическом мониторинге рекомендуется назначать изменение частоты 1-го тона свободных колебаний конструкции, при этом могут учитываться и другие критерии (изменение частоты 2-го тона колебаний, прочности и/или эффективной толщины конструкции).
В соответствии с пунктом 6.3 ГОСТ 31937-2011 «Здания и сооружения. Правила обследования и мониторинга технического состояния», введенного в действие приказом Федерального агентства по техническому регулированию и метрологии от 27 декабря 2012 г. № 1984-ст (далее — ГОСТ 31937-2011) критерием является снижение частоты 1-го тона свободных колебаний на 10 %. В случае если по результатам первичного обследования и расчетов СК признаны ограниченно-работоспособными или аварийными, этот показатель рекомендуется снизить до 5 %.
26. Выводы о дальнейшей безопасной эксплуатации СК, ЗиС рекомендуется делать на основании сравнения полученных данных с результатами предыдущих испытаний, соответствия их эталонным характеристикам или существующим базам данных и оценкам фактической несущей способности конструкций в расчетной модели (эталонные характеристики могут быть определены в расчетной модели с проектными техническими характеристиками конструкций ЗиС).
27. В методику определения динамических характеристик СК по их свободным колебаниям, возбуждаемым ударной импульсной нагрузкой, рекомендуется включать следующие операции:
· возбуждение и регистрацию колебаний с помощью измерительного комплекса, схема которого приведена на рис. 2.3 приложения № 4 к настоящему Руководству по безопасности и затем усреднение полученных откликов по нескольким воздействиям в каждой точке приложения нагрузки. Количество ударных воздействий в каждой точке приложения нагрузки рекомендуется назначать в зависимости от уровня фоновых вибраций (при уровне фоновых вибраций менее 30 % от максимального уровня при ударном воздействии в анализируемом диапазоне частот достаточно пяти воздействий);
· при необходимости составление реакций СК на комбинацию ударных воздействий;
· вычисление спектров Фурье;
· анализ спектров Фурье с целью выделения резонансных пиков, соответствующих различным формам свободных колебаний;
· получение с помощью обратного преобразования Фурье импульсных реализаций выделенных резонансных пиков по каждой форме свободных колебаний;
· определение периодов (частот) и амплитуд этих колебаний, а также их логарифмических декрементов;
· построение эпюр или диаграмм различных форм колебаний.
28. Обработку результатов испытаний рекомендуется выполнять с помощью специализированного программного обеспечения. Обработка полученных в результате сложения колебаний (комбинированных реализаций) с целью выделения резонансных пиков, соответствующих анализируемой форме колебаний, рекомендуется осуществлять для каждой точки измерения путем сложения или вычитания реализаций, полученных при ударах в отдельных точках. Методика определения динамических характеристик приведена в приложении № 4 к настоящему Руководству по безопасности.
29. Адаптацию расчетных моделей рекомендуется осуществлять путем введения в них фактических физико-механических характеристик материалов конструкций, определяемых с использованием метода поверхностной волны, а также путем сопоставления фактических динамических характеристик конструкций с полученными в расчетной модели.
30. Расчет прочности и устойчивости СК ЗиС при сейсмических и иных проектных воздействиях рекомендуется выполнять с учетом результатов обследования с целью:
· выявления резерва (или дефицита) прочности и устойчивости ЗиС в целом и их отдельных конструктивных элементов с учетом данных об их фактическом состоянии, полученных в результате обследования, в соответствии с требованиями действующих нормативных документов;
· выявления причин, которые вызвали появление дефектов и повреждений строительных элементов и конструкций, обнаруженных в результате обследования;
· разработки предложений на основании анализа результатов расчета устойчивости ЗиС с учетом результатов обследования по инженерно-техническим мероприятиям, которые необходимо выполнить на объекте для восстановления и сохранения его функциональной устойчивости, как при эксплуатационных нагрузках, так и при сейсмическом воздействии заданной интенсивности, и их расчетное обоснование (указанные предложения рекомендуется разрабатывать на основании анализа результатов расчета устойчивости ЗиС с учетом результатов обследования).
31. На стадиях разработки и проектирования ЗиС ОИАЭ рекомендуется проводить расчеты сейсмостойкости и стойкости при внешних воздействиях природного и техногенного происхождения с использованием программ для ЭВМ, имеющих аттестационный паспорт, выданный Ростехнадзором.
32. Оценку стойкости СК ЗиС при внешних динамических воздействиях рекомендуется выполнять, используя линейно-спектральный метод, динамический метод расчета и конструктивные схемы ЗиС (методы расчета стойкости СК ЗиС при внешних воздействиях приведены в приложении № 5 к настоящему Руководству по безопасности). Выбор метода расчета регламентируется в НП-031-01 и зависит от того, в каком виде задано внешнее воздействие, и от значений собственных динамических характеристик.
33. Рекомендации по разработке расчетной модели по результатам вибродиагностики СК ЗиС приведены в приложении № 6 к настоящему Руководству по безопасности.
к руководству по безопасности при использовании атомной энергии «Динамический мониторинг строительных конструкций объектов использования атомной энергии», утвержденному приказом Федеральной службы по экологическому, технологическому и атомному надзору от «22» марта 2022г. № 84.
АЦП — аналого-цифровой преобразователь;
ЗиС — здания и сооружения;
ОИАЭ — объекты использования атомной энергии;
ПК — персональный компьютер;
СК — строительные конструкции.
к руководству по безопасности при использовании атомной энергии «Динамический мониторинг строительных конструкций объектов использования атомной энергии», утвержденному приказом Федеральной службы по экологическому, технологическому и атомному надзору от «22» марта 2022г. № 84.
Рекомендуются следующие структура и содержание программы динамического мониторинга:
1. Назначение и область применения программы работ;
2. Общие положения;
3. Базовая нормативно-техническая документация;
4. Перечень объектов использования атомной энергии, цели и задачи мониторинга;
5. Краткая характеристика объектов мониторинга;
6. Методы динамических испытаний, приборное обеспечение, схемы испытаний;
7. Схема размещения датчиков колебаний;
8. Программа компьютерной обработки записей колебаний;
9. Критерии оценки результатов мониторинга;
10. Организация и порядок проведения динамического мониторинга:
· организация обследования;
· порядок выполнения работ по обследованию;
· основные технические требования по обеспечению доступа к конструкциям;
11. Требования к итоговой документации;
12. Организационно-технические мероприятия;
13. Требования к обеспечению безопасности;
14. Приложение. Планы и разрезы здания (сооружения) с указанием зон и схем динамического контроля.
В разделе «Перечень объектов использования атомной энергии, цели и задачи мониторинга» приводятся перечень СК ОИАЭ, подлежащих обследованию, и результаты, которые должны быть достигнуты при мониторинге.
В разделе «Краткая характеристика объектов мониторинга» приводятся характеристики подлежащих мониторингу конструкций по результатам первичного обследования, а также прилагается таблица с заполненными результатами первичного обследования.
В разделе «Методы динамических испытаний, приборное обеспечение, схемы испытаний» приводятся методы испытаний со ссылкой на утвержденные методики работ, перечень используемой для выполнения работ аппаратуры и оборудование с указанием свидетельств о поверке, а также схемы испытаний каждым методом по каждой конструкции. При большом объеме работ рекомендуется схемы испытаний выносить в отдельные приложения.
В разделе «Критерии оценки результатов мониторинга» приводятся значения изменений контролируемых параметров, при которых требуется внеочередное обследование всех или отдельных контролируемых конструкций.
В разделе «Организация и порядок проведения динамического мониторинга» указываются организации, привлекаемые к выполнению работ, и организации, обеспечивающие и контролирующие работы. Описываются порядок допуска на объект исполнителей, организация допуска к обследуемым конструкциям и обеспечения необходимыми техническими средствами.
В разделе «Требования к итоговой документации» указываются нормативные документы, которым должна соответствовать документация, перечень и содержание выпускаемых по итогам испытаний документов, а также требования к оформлению этих документов.
В разделе «Организационно-технические мероприятия» оговариваются мероприятия, выполняемые в ходе подготовки и проведения работ, указываются ответственные за их выполнение.
В разделе «Требования к обеспечению безопасности» указываются руководящие документы в области обеспечения безопасного ведения работ, ответственные за организацию инструктажей по технике безопасности и контроль при проведении работ.
к руководству по безопасности при использовании атомной энергии «Динамический мониторинг строительных конструкций объектов использования атомной энергии», утвержденному приказом Федеральной службы по экологическому, технологическому и атомному надзору от «22» марта 2022г. № 84.
1. Техническое заключение по динамическому мониторингу технического состояния ЗиС рекомендуется оформлять в виде:
· описания использованного измерительного комплекса;
· перечня обследованных СК, методов и фактических схем испытаний этих конструкций;
· результатов испытаний в виде эпюр и (или) диаграмм различных форм свободных колебаний с указанием частот (периодов) этих колебаний, а также дисперсионных кривых поверхностных волн (если такие испытания проводились);
· анализа полученных результатов испытаний с рекомендациями по их учету при адаптации расчетных моделей и динамическому мониторингу;
· приложения с программой испытаний.
Форма технического заключения приведена в таблице № 1.
|
Заключение по динамическому мониторингу технического состояния здания или сооружения |
|
|
1. Адрес и собственник объекта |
|
|
2. Номер этапа мониторинга |
|
|
3. Время проведения этапа мониторинга |
|
|
4. Организация, проводившая этап мониторинга |
|
|
5. Предыдущее значение крена объекта вдоль большой оси |
|
|
6. Текущее значение крена объекта вдоль большой оси |
|
|
7. Предыдущее значение крена объекта вдоль малой оси |
|
|
8. Текущее значение крена объекта вдоль малой оси |
|
|
9. Предыдущее значение периода основного тона собственных колебаний вдоль большой оси |
|
|
10. Текущее значение периода основного тона собственных колебаний вдоль большой оси |
|
|
11. Предыдущее значение периода основного тона собственных колебаний вдоль малой оси |
|
|
12. Текущее значение периода основного тона собственных колебаний вдоль малой оси |
|
|
13. Предыдущее значение периода основного тона собственных колебаний вдоль вертикальной оси |
|
|
14. Текущее значение периода основного тона собственных колебаний вдоль вертикальной оси |
|
|
15. Предыдущее значение логарифмического декремента основного тона собственных колебаний вдоль большой оси |
|
|
16. Текущее значение логарифмического декремента основного тона собственных колебаний вдоль большой оси |
|
|
17. Предыдущее значение логарифмического декремента основного тона собственных колебаний вдоль малой оси |
|
|
18. Текущее значение логарифмического декремента основного тона собственных колебаний вдоль малой оси |
|
|
19. Предыдущее значение логарифмического декремента основного тона собственных колебаний вдоль вертикальной оси |
|
|
20. Текущее значение логарифмического декремента основного тона собственных колебаний вдоль вертикальной оси |
|
|
21. Установленная категория технического состояния объекта |
|
2. Технический отчет по результатам динамических испытаний по определению собственных динамических характеристик СК ЗиС рекомендуется оформлять в виде:
· краткого описания объекта мониторинга и условий его размещения с указанием задач динамического мониторинга;
· схемы размещения точек измерения колебаний;
· технических характеристик измерительной и регистрирующей аппаратуры;
· результатов определения динамических характеристик;
· сопоставления текущего и предыдущих определений динамических характеристик.
Приложения к техническому отчету:
· техническое задание на работы по динамическому мониторингу;
· программа динамического мониторинга;
· результаты динамического мониторинга.
к руководству по безопасности при использовании атомной энергии «Динамический мониторинг строительных конструкций объектов использования атомной энергии», утвержденному приказом Федеральной службы по экологическому, технологическому и атомному надзору от «22» марта 2022г. № 84.
1.1. Для проведения динамического мониторинга необходимо использование испытательных методов и средств, позволяющих получить объективную информацию об основных свойствах материалов, элементов конструкций, ЗиС.
1.2. Объем и вид полученной информации определяется программой испытаний и возможностью идентификации результатов при разработке расчетных моделей.
1.3. В качестве исходных данных для идентификации расчетных моделей используются следующие динамические характеристики конструкций, ЗиС, полученные при анализе их свободных колебаний, зарегистрированных в процессе испытаний:
· периоды и формы колебаний;
· логарифмические декременты колебаний.
При основных формах колебаний ЗиС (рис. 1.1) фундамент здания может оставаться неподвижным или в той или иной степени вовлекаться в колебания.
Для зданий сложных конструктивных схем с неравномерно распределенными весовыми или жесткостными характеристиками возможно существование разных частот высших тонов изгибных по высоте колебаний, а иногда и 1-го тона, для различных частей здания. В таком случае для этих форм колебаний строят еще и эпюры по длине здания.

1.5. Для регистрации колебаний рекомендуется применение аппаратуры, технические характеристики которой приведены в таблице № 1.1.
|
№ п/п |
Название |
Технические характеристики |
|
1 |
Акселерометр |
Чувствительность 300 мВ/м/с2; Частотный диапазон 1–300 Гц |
|
2 |
Акселерометр |
Чувствительность 10 мВ/м/с2; Резонансная частота 15 кГц |
|
3 |
Усилитель |
Режимы измерения: ускорение, скорость, перемещение; Усиление от 1 до 10 000 со ступенчатым изменением с шагом 10 дБ; Частотный диапазон от 1 Гц до 20 кГц; Количество каналов измерения не менее 8; Питание от сети 220 В или аккумулятора постоянного тока |
|
4 |
АЦП |
Количество каналов не менее 8; Разрядность не менее 12 бит; Диапазоны измеряемых сигналов: ± 5,12 В, 2,56 В, 1,024 В; Максимальная частота преобразования 300 кГц/канал |
|
5 |
ПК |
Должен быть оснащен программным обеспечением ввода и обработки измерительной информации. Наличие параллельного порта |
|
6 |
Средство возбуждения колебаний, емкость, заполненная сыпучим материалом, тампер, молоток |
Вес емкости (мешка) до 50 кг, оснащена амортизирующей прокладкой; Вес тампера до 12 кг, оснащен амортизирующей прокладкой; Вес молотка до 2 кг, оснащен амортизирующей прокладкой и резьбовым отверстием для крепления акселерометра; Порядок, методика и объем исследований по динамическому мониторингу СК, важных для безопасности, устанавливаются в программе динамического мониторинга |
1.6. Для повышения точности определения частот и построения эпюр высших форм колебаний из исходных реализаций, зарегистрированных при приложении нагрузки в различных точках, используется принцип суперпозиции.
Использование принципа суперпозиции применительно к импульсному методу возбуждения свободных колебаний СК заключается в:
· возбуждении и регистрации колебаний под действием точечной импульсной нагрузки, прикладываемой в различных точках конструкции;
· сложении (с учетом направления действия нагрузки) колебаний, зарегистрированных при приложении нагрузки в различных точках конструкции (имитация одновременного приложения нагрузки в нескольких точках).
1.7. Обработка полученных в результате сложения колебаний (комбинированных реализаций) с целью выделения резонансных пиков, соответствующих анализируемой форме колебаний, осуществляется для каждой точки измерения путем сложения или вычитания реализаций, полученных при отдельных ударах. Включение реализации в комбинацию со знаком «минус» означает, что при составлении комбинации моделируется воздействие в противоположном направлении. Реализации, включаемые в комбинацию, и их знак выбираются таким образом, чтобы усилить колебания в направлении приложенной нагрузки.
На рис. 1.2 (а) приведена схема возбуждения колебаний.
Примеры создания комбинированных реализаций для горизонтального и вертикального створа измерений согласно схеме расстановки датчиков приведены на рис. 1.2 (б).


На рис. 1.3, 1.5 и 1.7 приведены записи колебаний в точках горизонтального створа, зарегистрированные при ударах У1, У2 и У3, на рис. 1.4, 1.6 и 1.8 — спектры этих колебаний.
На рис. 1.9 и 1.10 приведены записи колебаний для случая комбинированных реализаций для ударов (У1–У3), созданные для выделения крутильных колебаний, и их спектры, а на рис. 1.11 и 1.12 — реализации для ударов (У1–У2+У3), созданные для выделения изгибных по фронту здания колебаний, и их спектры.
Полученные комбинированные реализации обрабатываются так же, как и любые исходные реализации.
Эпюры крутильных колебаний и изгибных по фронту здания колебаний приведены на рис. 1.13 и 1.14, соответственно.












2.1. Для оценки интегральных физико-механических характеристик материала рекомендуется использование метода с возбуждением в конструкциях поверхностных упругих волн.
2.2. Метод с использованием упругих поверхностных волн акустического диапазона частот предназначен для оценки состояния материала плоских многослойных СК, допускающих установку измерительных датчиков на одной из поверхностей. Длина доступной для обследований поверхности конструкции должна быть не менее трех глубин ее зондажа.
2.3. Оценка характеристик материала проводится в три этапа:
· на первом этапе определяются реакции поверхности СК на ударное импульсное воздействие;
· на втором этапе теоретически моделируется реакция многослойных конструкций на ударное импульсное воздействие;
· на третьем этапе проводится обработка результатов измерения и моделирования, сравнительный анализ экспериментальных и расчетных дисперсионных кривых (зависимостей скорости волны от ее длины) поверхностных волн и адаптация акустических параметров модели по критерию совпадения дисперсионных кривых методом итераций.
2.4. Блок-схема алгоритма контроля состояния многослойных конструкций приведена на рис. 2.1.
По корреляционным зависимостям между акустическими характеристиками материала конструкции (обычно скоростью продольной волны) и его прочностью оцениваются фактические прочностные характеристики материалов конструкции и их соответствие проектным значениям.

Первый этап — измерение поверхностных волн
2.5. Акустические характеристики материала СК определяются по колебаниям, инициированным импульсной ударной нагрузкой, приложенной к поверхности конструкции.
Для поверхностных волн определяются скорость их распространения при различных длинах волн, а также интенсивность затухания и наличие отражений.
2.6. Определение параметров поверхностных волн обеспечивается со следующими параметрами точности:
относительная доверительная погрешность определения интенсивности затухания волн составляет:
· 15 % — при проведении относительной калибровки каналов измерения;
· 20 % — без проведения относительной калибровки;
· доверительная вероятность определения значения относительной доверительной погрешности равна 0,95.
2.7. Абсолютные значения упругих характеристик материала (модуля упругости или сдвига) или различных слоев СК (для многослойной конструкции) определяются по значениям скоростей продольных или поперечных волн для теоретической модели при условии обеспечения наибольшего совпадения фактически полученных и расчетных дисперсионных кривых поверхностных волн.
2.8. Прочность материала конструкции или ее отдельных слоев определяется по корреляционным зависимостям между прочностью и скоростью распространения в нем продольных волн.
2.9. При проведении измерений должны выполняться операции и применяться технические средства, требования к характеристикам которых приведены в таблице № 2.1.
Типовая схема измерений скорости поверхностной волны в конструкции приведена на рис. 2.2.
Таблица № 2.1. Операции и средства оценки состояния строительных конструкций
|
Наименование операции |
Технические средства и их нормативно-технические характеристики |
|
Подготовка и проведение измерений |
Акселерометры, например типов КД-20 или КВ-12 фирмы MMFR, чувствительностью, соответственно, не менее 10 и 300 мВ/м/с2, частотный диапазон 1–300 Гц, не менее 5 шт.; акселерометры, например типа КД-41, чувствительностью не менее 10 мВ/м/с2; предусилители, например типа 2623; соединительные антивибрационные кабели длиной от 5 до 80 м; согласующие усилители, имеющие режимы измерения ускорения, скорости и перемещения, коэффициент усиления в режиме ускорения до 10 В/мВ, нижняя граница частотного не более 1 Гц; многоканальный АЦП, например типа E330 фирмы L-CARD; ПК с программными средствами; средства для возбуждения колебаний, например тампер, молоток |

2.10. Для построения дисперсионных кривых выбирают отдельные измерительные лучи в различных частях поверхности конструкции, а для построения годографов скоростей – измерительные створы, образуемые несколькими измерительными лучами (расстановки с индексами «а» и «b» на рис. 2.2). При этом измерительные лучи располагаются на одной прямой и смещаются относительно друг друга вдоль измерительного створа на постоянный шаг.
2.11. Поверхность мест установки акселерометров подготавливают для установки датчиков, очищая от пыли, отслоившейся краски, и т. п., при необходимости просушивают и покрывают ее тонким слоем пластилина или специальной мастики.
2.12. Схема измерительного комплекса (рис. 2.3) представляет собой последовательное соединение первичных измерительных преобразователей (акселерометров), согласующих усилителей, многоканального АЦП и ПК. Один из каналов измерения отводится под акселерометр, устанавливаемый на ударном грузе для измерения момента приложения и величины импульса ударной нагрузки.
2.13. При выборе точек измерения и типа датчиков следует учитывать характер источника колебаний, интенсивность и длительность колебаний, продолжительность измерений, погрешность измерений, в том числе за счет помех природного и техногенного происхождения. Рекомендуется одновременная трехкомпонентная регистрация колебаний в каждой точке измерения.
2.14. Для возбуждения колебаний подготавливается тампер (молоток), на котором закрепляется пьезоакселерометр. Длительность ударного импульса регулируется амортизирующими прокладками, закрепленными на тампере.
2.15. Тампер представляет собой деревянный брус массой 10–12 кг, один из торцов которого имеет форму полусферы или снабжен сферическим наконечником из упругого материала. Акселерометр для измерения нагрузки крепится на втором торце тампера. Для возбуждения низкочастотных волн рекомендуется использовать более тяжелый тампер c мягким наконечником (поролон, пористая резина).

Второй этап — математическое моделирование
2.16. Для случаев, когда исследуемая конструкция может рассматриваться как однородное полупространство или однородная плита, акустические характеристики материала конструкции определяются следующим образом:
· для полупространства скорость поверхностной волны равна скорости Релеевской волны;
· дисперсионная кривая поверхностных (изгибных) волн в плите с заданной скоростью Релеевской волны в ее материале VR и толщине плиты строится путем решения аналитического уравнения вида:

где:
H — толщина плиты;
l — длина изгибной волны;
m — коэффициент Пуассона;
Vи — фазовая скорость изгибной волны.
2.17. Математическое моделирование реакции многослойной конструкции на ударное импульсное воздействие основано на интегрировании определяющей системы уравнений численным методом в плоской постановке.
Третий этап — обработка результатов испытаний
2.18. Обработку результатов испытаний рекомендуется проводить с использованием ПК. Исходные реализации волновых процессов разделяются в ПК на монохроматические пучки с помощью группы полосовых фильтров. Для выделенных пучков монохроматических волн определяют время распространения волны последовательно для всех точек измерения. Время определяют по максимумам волны или по пересечениям кривой колебаний с нулевой линией.
По каждому отсчету времени распространения монохроматического пучка волны определяют фазовую скорость распространения волны:
![]()
где:
L — длина отрезка, на котором определяется скорость между точками измерения, м;
t — время пробега этого отрезка поверхностной волной, с.
Длина волны равна:
![]()
где T — период колебаний в пучке монохроматической волны, сек.
2.19. Для построения дисперсионных кривых на участке измерительного луча длиной не менее четырех шагов расстановки акселерометров каждый монохроматический пучок волны обрабатывается для получения нескольких отсчетов времени пробега волны от начала до конца участка. Затем для каждого случая вычисляют скорость и длину волны. Полученный таким образом массив данных «скорость–длина волны» фильтруют до получения плавной дисперсионной кривой.
Скоростной разрез по длине измерительного створа определяется по среднему времени пробега волной расстояния между каждой парой точек измерения в измерительном луче для всех расстановок в обоих направлениях распространения волны, что позволяет вычислить скорость волны и ее длину. Весь диапазон полученных длин волн разделяется на 2–3 участка, где вычисляется средняя скорость волны и строятся графики изменения скорости волны по длине створа.
Пример 2. Создание выделенного пучка монохроматической волны
На рис. 2.4 приведен пример исходной реализации и выделенного пучка монохроматической волны с наложенными линиями годографов времен пробега волны.
а)

б)

2.20. Результаты обработки волновых процессов реакции конструкции на ударное импульсное воздействие используются при определении акустических характеристик материалов СК путем сравнения дисперсионных кривых поверхностных волн, полученных по экспериментальным и расчетным теоретическим реакциям на ударное импульсное воздействие.
2.21. Параметры (геометрические и акустические) модели многослойных СК подбираются методом итераций и с учетом результатов обследования другими методами до достижения наилучшего совпадения теоретической и экспериментальной дисперсионных кривых.
2.22. Упругие характеристики материалов СК определяются по акустическим характеристикам различных слоев СК, полученным в математической модели в результате ее адаптации с учетом информации о свойствах материала конструкции (плотности, коэффициенте Пуассона и т. д.) по формулам:




где:
VS, VR, VP — скорости, соответственно, поперечной, Релеевской и продольной волн, м/с;
Ed — модуль упругости бетона, Па;
Gd — модуль сдвига бетона, Па;
ρ— плотность бетона, кг/м3;
µd — динамический коэффициент Пуассона.
2.23. Прочность материала конструкции определяют по корреляционным зависимостям между прочностью материала и скоростью распространения продольной упругой волны в нем.
2.24. По результатам испытаний с помощью поверхностных волн рекомендуется приводить следующие данные:
· годографы скоростей поверхностных волн различных типов;
· дисперсионные кривые волн на наиболее характерных измерительных лучах;
· основные акустические характеристики материала конструкции;
· скорости продольных и поперечных волн на различных участках поверхности конструкции;
· соответствующие им модули упругости и сдвига материала;
· прочность материала конструкции на различных участках ее поверхности.
2.25. Для определения прочности бетона рекомендуется использовать тарировочную кривую, представленную на рис. 2.5, а для определения прочности кирпичной кладки — использовать данные таблицы № 2.1.

Таблица № 2.1. Качественная классификация прочности кирпичной кладки по скоростям сейсмоакустического диапазона
|
Нормативная прочность кладки на сжатие (Rн, МПа) |
Скорость продольной волны сейсмоакустического диапазона частот (Vp , м/с) |
|
|
Очень прочная |
4–4,5 |
> 3 000 |
|
Прочная |
3–4 |
2 000–3 000 |
|
Пониженной прочности |
2–3 |
1 500–2 000 |
|
Низкой прочности |
1,5–2 |
1 000–1 500 |
|
Слабой прочности |
1–1,5 |
500–1 000 |
|
Очень слабой прочности |
0,5–1 |
~ 500 |
3.1. Для выявления дефектных зон в материале СК рекомендуется использовать метод сквозного прозвучивания, основанный на измерении скорости распространения в материале акустических волн: продольных или поперечных. Определение значений этих скоростей в различных точках конструкции позволяет выявить дефектные зоны и оценить упругие характеристики конструкции.
3.2. Для построения поля скоростей распространения волн в строительной конструкции используют программы томографической обработки результатов измерения времен пробега волны между ее источниками и приемниками.
3.3. Для построения скоростного разреза конструкции определяется база данных, которая представляет собой группу таблиц, содержащих координаты источников и приемников волны и времена пробега волны между ними.
3.4. Возбуждение и регистрация продольных или поперечных упругих волн может осуществляться с использованием любых средств, позволяющих с приемлемой точностью фиксировать время пробега волны:
· источник должен обеспечивать короткий фронт волны (до 1 м/сек);
· приемники (датчики) должны быть широкополосными (1–3 000 Гц), чтобы измерить эту волну без динамических искажений.
3.5. Алгоритм расчета скоростного разреза конструкции рекомендуется организовать следующим образом:
· вводятся таблицы времен пробега волны между всеми источниками и приемниками;
· вводится исходная модель конструкции в виде слоистой среды: относительные толщины слоев, относительные скорости на границах слоев и угол наклона плоскости слоев к осям координат, при этом скорость по левой границе первого слоя V0 принимается равной единице;
· вычисляются времена пробега волн по всем заданным лучам при заданной модели конструкции при скоростях волн, равных заданным относительным скоростям;
· вычисляется скорость V0 как отношение сумм времен пробега волны по всем лучам;
· вычисляется среднеквадратическое отклонение экспериментальных и расчетных времен пробега волн;
· методом итераций определяется скоростной разрез конструкции, при котором среднеквадратическое отклонение экспериментальных и расчетных времен пробега волны достигает минимального значения;
· для «оптимального скоростного разреза» вычисляются абсолютные значения скоростей на границах слоев, и строится график в координатах «расстояние (по оси, перпендикулярной плоскости слоев) – скорость распространения волны»;
· вычисляются траектории лучей, и строится ситуационный план, на который наносятся траектории лучей и изолинии скоростей распространения волны.
Пример 3. Расчет траекторий лучей
Для расчета траекторий лучей воспользуемся системой уравнений:

где:
k — градиент скорости волны;
j — угол между вектором градиента скорости волны и направлением распространения волны по лучу;
V — скорость распространения волны;
S — путь волны по лучу;
t — время пробега волны.
Для градиентного слоя, в котором градиент скорости волны постоянен по величине и направлению и направлен вдоль оси x система уравнений (8) приобретает вид:

где j0, V0, x0, y0 — значения соответствующих величин в начальной точке траектории луча в данном слое.
При этом градиент определяется как производная скорости распространения волны по оси x:
![]()
где
Vn, Vk — скорости распространения волны, соответственно, в начале и в конце слоя (по направлению оси x);
H — ширина слоя.
После интегрирования система уравнений (9) принимает вид:

C помощью системы уравнений (11) при заданных параметрах скоростного разреза, начальных значениях параметров лучей x0, y0, j0, времени t0 и конечной абсциссы луча xk, соответствующей границе слоя или абсциссе приемника волн, можно вычислить все параметры луча в конечной точке (yk, j0) и время пробега волны от x0 до xk(t0).
При этом необходимо учитывать, что если в каком-либо слое j0 < 90°, то траектория может иметь две ветви (прямую и обратную), если xk слоя больше
![]()
в этом случае траектория возвращается к началу слоя.
Расчет луча ведется с использованием системы уравнений (11) методом итераций. Сначала задается угол выхода луча j0 из источника волны (возможен также счет от приемника к источнику, если в этом случае расчет упрощается), и строится траектория луча до x0 абсциссы приемника последовательно по каждому слою. При этом в каждом следующем слое начальные параметры луча принимаются равными конечным параметрам луча в предыдущем слое. Достроив луч до оси x0, сравнивают ординату луча yk с ординатой приемника y0. Затем изменяют j0 на величину начального шага Dj0 таким образом, чтобы уменьшить разность (yk – y), и снова рассчитывают траекторию луча. После смены знака разности yk и y0 уменьшают величину шага изменения j0, делают шаг в обратную сторону и так до тех пор, пока не будет выполнено условие:
![]()
Время пробега волны по вычисленной таким образом траектории для каждого луча вносится в таблицу.
к руководству по безопасности при использовании атомной энергии «Динамический мониторинг строительных конструкций объектов использования атомной энергии», утвержденному приказом Федеральной службы по экологическому, технологическому и атомному надзору от «22» марта 2022г. № 84.
1.1. Линейно-спектральный метод
Линейно-спектральный метод предусматривает использование внешнего воздействия в виде спектральной кривой (спектра ответа) зависимости ускорения от собственных частот ω. Задаваемый спектр ответа зависит от отметки расположения оборудования по высоте и от значения относительного демпфирования.
Спектр ответа получают на основе реакции простейшей динамической системы (линейного неконсервативного осциллятора) на сейсмическое возмущение. После расчета колебаний осцилляторов с разными значениями его динамических параметров (собственной частоты f и коэффициента диссипации энергии k) строится зависимость максимальных величин абсолютных ускорений от их собственных частот и коэффициентов k, которая называется спектром ускорений или спектром ответа.
Следует отметить, что спектр ответа может быть рассчитан путем наложения и вероятностной обработки спектров, полученных по многим акселерограммам. Тогда он будет отражать опыт различных внешних воздействий.
Параметры затухания колебаний (логарифмические декременты колебаний) рекомендуется принимать на основе специальных обоснований. В случае отсутствия экспериментальных данных значения логарифмических декрементов колебаний допускается принимать по таблице № 1.
|
Вид конструкции |
Логарифмический декремент колебаний ? в долях от критического значения при значениях расчетных напряжений s в зависимости от расчетных сопротивлений материала конструкции R |
|
|
σ = 0,67R |
σ ≥ 0,9R |
|
|
Железобетонные конструкции обычные |
0,04 |
0,07 |
|
Железобетонные конструкции преднапряженные |
0,02 |
0,05 |
|
Стальные конструкции сварные |
0,02 |
0,04 |
|
Стальные конструкции на болтах |
0,04 |
0,07 |
|
Оборудование и трубопроводные системы большого диаметра (> 300 мм) |
0,02 |
0,03 |
|
Оборудование и трубопроводные системы малого диаметра (≤ 300 мм) |
0,01 |
0,02 |
В основе линейно-спектрального метода лежит метод разложения движения системы по формам ее собственных колебаний.
Для оценки сейсмостойкости СК обычно учитывают первые семь или восемь форм колебаний в низкочастотной области (до 33 Гц) вследствие низкочастотного характера сейсмических колебаний.
Для оценки стойкости СК при высокочастотных внешних воздействиях (падение самолета, воздушная ударная волна и др.) необходимо учитывать много более форм колебаний (до 30), что обусловлено возможным наличием большого числа собственных частот СК в высокочастотной области (33–400 Гц).
Линейно-спектральный метод, основываясь на ряде допущений, упрощает решение задачи о вынужденном внешнем воздействии и позволяет оценить напряженно-деформированное состояние конструкции с погрешностью, идущей, как правило, в сторону увеличения запаса прочности. Главным недостатком метода является невозможность проведения расчета нелинейных систем.
1.2. Метод динамического анализа
Метод динамического анализа предусматривает использование в качестве внешнего воздействия акселерограммы движения основания расчетной модели. Решение задачи проводится методами численного интегрирования систем дифференциальных уравнений движения. При этом расчетная модель конструкции может быть нелинейной. Современные достижения в области компьютерной техники и существующие программные комплексы позволяют эффективно использовать метод динамического анализа для оценки стойкости к внешним воздействиям энергетического оборудования любой сложности.
2.1. Расчетная модель ЗиС при анализе его стойкости при внешних воздействиях — это динамическая система с сосредоточенными и/или распределенными массами, достаточно полно отражающая основные динамические свойства рассматриваемого объекта, по реакциям которой можно оценить стойкость при внешних воздействиях реальной конструкции. Модель должна обеспечивать требуемую точность оценки динамической реакции конструкции, удовлетворять объему необходимой расчетной проверки, возможностям программ расчета на ЭВМ и выбранным методам расчета.
Возможности современных вычислительных комплексов и ЭВМ позволяют рассматривать сложные комбинированные расчетные модели, включающие пространственные и плоские стержневые системы, оболочечные элементы, абсолютно жесткие тела, нелинейные элементы. Сложность выбранной модели зависит от вида конструкции, метода расчета, критериев стойкости к внешним воздействиям.
2.2. Построение расчетной модели и ее расчет проводятся в следующем порядке:
· предварительное разбиение системы на составные элементы;
· назначение узловых точек и обобщенных координат;
· определение инерционных и упругих характеристик;
· расчет динамических характеристик;
· выбор методов расчета на сейсмостойкость в зависимости от значений частот собственных колебаний расчетной модели, категории сейсмостойкости и сейсмичности площадки;
· выбор методов расчета на стойкость при иных внешних воздействиях в зависимости от значений частот собственных колебаний расчетной модели и характера внешнего воздействия;
· назначение критериев оценки стойкости при внешних воздействиях;
· уточнение расчетной модели, при необходимости построение нескольких моделей, соответствующих выбранным критериям оценки;
· уточненный расчет динамических характеристик (если это требуется выбранным методом расчета);
· расчет характеристик системы, назначенных в качестве критериев оценки от требуемого вида воздействия, задаваемого в виде акселерограммы, спектра ответа, сосредоточенной или распределенной внешней нагрузки.
2.3. Исходными данными для построения расчетных моделей являются рабочие и установочные чертежи, конструктивные схемы оборудования, паспортные и другие данные, которые могут быть дополнены по результатам визуального осмотра и геометрических замеров в реальных условиях монтажа и обвязки.
2.4. Рекомендуется выполнять проверку соответствия расчетных значений собственных динамических характеристик реальным значениям и последующую коррекцию расчетных схем. После получения расчетным методом значений собственных частот колебаний ЗиС расчетная модель корректируется путем малого изменения параметров, от которых зависит жесткость конструкции, согласно следующим принципам:
· приращения должны быть как можно менее значительными; не должно изменяться направление перемещения элементов схемы по низшим формам колебаний;
· не рекомендуется изменять параметры поперечных сечений стержневых и оболочечных элементов, если в них ожидаются максимальные значения напряжений;
· в результате уточнения получаемые расчетные значения низших собственных частот должны приближаться к значениям, полученным экспериментально.
Каркасная система с пространственным рамным каркасом — наиболее часто используемая в строительстве общественных и промышленных зданий. Основные элементы каркаса — колонны, ригели, плиты покрытий и связи. Каркасы, в зависимости от материалов, из которых изготовлены стойки и ригели, подразделяют на железобетонные, металлические и комбинированные.
Железобетонный каркас — это основной тип каркаса, монтируемый из унифицированных элементов массового заводского или полигонного изготовления. Сопряжения стоек, как и других элементов сборного железобетонного каркаса, осуществляются с помощью сварки выпусков арматуры с последующим замоноличиванием их бетоном.
Металлические каркасы (стальные и из алюминиевых сплавов) выполняют из различных прокатных профилей (листов, уголков, швеллеров, двутавров, труб и т. д.).
Наибольшее распространение получили следующие комбинированные каркасы, в которых вертикальные несущие конструкции компонуют из различных элементов — стержневых и плоскостных.
Схема с неполным каркасом основана на сочетании несущих стен и каркаса, воспринимающих все вертикальные и горизонтальные нагрузки. Систему применяют в двух вариантах: с несущими наружными стенами и внутренним каркасом либо с каркасом и внутренними стенами.
В каркасно-диафрагмовой схеме на стеновые элементы (вертикальные элементы жесткости — диафрагмы) передается вся или большая часть горизонтальных нагрузок и воздействий, а на стержневые (несущий каркас) — преимущественно вертикальные нагрузки.
Каркасно-блочная схема основана на сочетании каркаса и объемных блоков, причем объемные блоки могут использоваться в системе в качестве (не)несущих конструкций. Ненесущие объемные блоки используют для поэтажного заполнения несущей решетки каркаса, а несущие устанавливаются друг на друга.
В бескаркасной конструктивной схеме с несущими стенами устойчивость зданий, в том числе и при сейсмических воздействиях, обеспечивается жесткими сопряжениями наружных и внутренних стен, а также их связью с перекрытиями. В этой конструктивной схеме стены являются вертикальными, а перекрытия — горизонтальными диафрагмами жесткости, образуя единую пространственную систему.
Стены зданий бескаркасной конструктивной схемы возводят из крупных, преимущественно бетонных, блоков (крупноблочные здания) и крупных бетонных или железобетонных панелей с эффективными утеплителями (крупнопанельные здания). К бескаркасной конструктивной схеме относятся здания из монолитного железобетона.
Здания с различными конструктивными схемами рекомендуется моделировать одной из следующих пространственных или плоских расчетных схем: стержневой, пластинчатой, объемной или комбинированной.
Выбор расчетной схемы определяется типом несущих элементов и схемой восприятия нагрузок СК здания с учетом критериев предельных состояний, определенных в соответствующих нормативных документах, для железобетонных, каменных, металлических и деревянных конструкций.
При разработке расчетных моделей существующих зданий рекомендуется выполнять учет выявленных при динамических испытаниях дефектов для отдельных элементов, узлов или фрагментов СК. Указанную процедуру рекомендуется выполнять в соответствии с рекомендациями нормативных документов путем введения коэффициента снижения несущей способности.
При разработке расчетной модели здания с учетом результатов обследования рекомендуется выполнить установление фактической конструктивной системы здания, существующей на момент проведения обследования. В расчетной модели здания рекомендуется отразить фактическое исполнение узлов опирания и сопряжения элементов конструкций, наличие и состояние связей, обеспечивающих пространственную жесткость здания и его элементов. Кроме этого, рекомендуется учесть фактическое сочетание постоянных и временных нагрузок, определенное при обследовании. В частности, в железобетонных конструкциях возможно появление пластических шарниров в узловых соединениях неразрезных ригелей с колоннами, что приводит к изменению условий работы указанных элементов в пространственной схеме здания.
При выполнении расчетной оценки сейсмостойкости для одного и того же здания рекомендуется последовательно использовать расчетные модели с нарастающей степенью сложности и детальности. Последовательное уточнение расчетной модели позволяет выявить влияние различных особенностей на поведение здания при сейсмических воздействиях с учетом возникновения в нем повреждений. Обязательным условием выполнения расчетной оценки является учет изменения состояний модели во время воздействия землетрясения при достижении предельных состояний в отдельных элементах или во всем здании в целом.
Для каменных зданий рекомендуется принимать во внимание следующие возможные изменения состояния модели:
1) Разделение здания на крупные блоки, которое характеризуется возникновением сквозных трещин, пронизывающих, как правило, все здание в вертикальном или горизонтальном направлениях (отделение смежных стен друг от друга, отделение и перемещение здания по фундаменту, смещение дисков перекрытий и разделение здания на блоки в рамках этажей и т. д.). В этом случае рекомендуется на первом этапе выполнять динамический расчет здания с использованием пространственной конечно-элементной модели без учета разрушений. Затем определяются элементы конструкций, где внутренние усилия (напряжения или деформации) превышают предельные значения. В расчетную модель вводятся элементы, работающие только до определенного уровня нагрузки, после чего производится их выключение из работы и выполняется повторный динамический расчет. При образовании новых зон возможных разрушений производится дальнейшее уточнение модели.
2) Изменение схемы восприятия нагрузок несущими конструкциями здания из-за разрушения (значительной потери несущей способности отдельными конструктивными элементами) или изменения условий сопряжения элементов друг с другом (образование горизонтальных трещин в верхней и (или) нижней частях простенков, образование диагональных трещин в глухих стенах в пределах этажа и т. д.).
При реализации такого механизма разрушения здания в его расчетной модели рекомендуется либо производить изменение условий соединения элементов (образование односторонней связи, скольжение с трением и т. д.), либо локально изменять модуль деформации кладки, либо из расчетной модели исключить элементы, соответствующие разрушенной части конструкции. После исключения из расчетной модели части элементов рекомендуется выполнить расчет измененного состояния здания при статических нагрузках и уточнить критерии предельных состояний.
3) Изменение монолитности кладки, которое, как правило, вызывает снижение собственных частот колебаний зданий, то есть жесткости. Появление указанных изменений связано с многочисленными внутренними процессами, происходящими в кладке при динамическом нагружении, и обусловлено образованием микротрещин и нарушением ее сплошности. В этом случае рекомендуется модуль деформации кладки умножать на коэффициент деградации, зависящий от реализованного напряженно-деформированного состояния в СК здания.
к руководству по безопасности при использовании атомной энергии «Динамический мониторинг строительных конструкций объектов использования атомной энергии», утвержденному приказом Федеральной службы по экологическому, технологическому и атомному надзору от «22» марта 2022г. № 84.
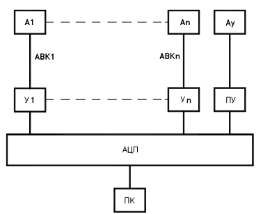
Ниже приведена схема измерений при определении динамических характеристик здания, рис. 1 (вертикальный створ), рис. 2 (план).
Возбуждение колебаний производится ударом мешка с песком в стену здания в его верхней части (где наблюдается большая амплитуда различных форм колебаний), в точках У1, У2. Для лучшего выделения высших форм колебаний удары могут наноситься в точках У1’, У2’, а для лучшего выделения высших форм колебаний (2-го и 3-го тонов) создаются комбинированные реализации сочетания ударных воздействий: У1–У1’, У2–У2’.
На рис. 3–5 приведены реакции здания на ударное воздействие в точке У2 и их спектры Фурье, а на рис. 6–7 — кросс-спектры реакции здания на микросейсмическое воздействие.
Эпюры 1–3 тонов горизонтальных колебаний здания приведены на рис. 8. В этой части эпюры изгибных колебаний рекомендуется сравнить с нормативно-допустимыми.

![]()







Определение динамических характеристик отдельных элементов здания или сооружения осуществляется с использованием тех же средств измерения и программного обеспечения. При этом могут использоваться более жесткие средства возбуждения колебаний, например деревянный брус с амортизирующим наконечником.
В случае, когда количество датчиков в измерительном комплексе меньше требуемого количества точек измерения, проводят испытания при нескольких схемах расстановки датчиков. При этом для сопоставления результатов в каждой следующей схеме измерений предусматривают одну-две точки из предыдущей (пример 2).
На рис. 9 приведен пример схем измерений при определении динамических характеристик перекрытия в здании. Для обеспечения построения эпюр колебаний по всей длине перекрытия испытания проводятся по нескольким схемам расстановки датчиков, при этом в каждой точке следующей схемы предусмотрены две точки из предыдущей.
Для выделения различных форм колебаний перекрытия создаются комбинированные реализации на требуемую комбинацию ударных воздействий. Для выделения 1-й формы колебаний создавалась комбинация (У1+У2+У3+У4+У5+У6), 2-й — (У1–У2+У3–У4+У5–У6).
Полученные комбинированные реализации и их спектры Фурье приведены на рис. 10–15, эпюры 1-й и 2-й форм колебаний — на рис. 16.








Пример оформления таблицы с результатами расчета периодов колебаний расчетной модели, разработанной и уточненной по результатам вибродинамических испытаний и фактических физико-механических характеристик материалов СК, приведен в таблице № 1.
Таблица № 1. Пример оформления таблицы с результатами расчета
|
Загружение |
Номер формы |
Собственное значение |
Частота |
Период |
Модальные массы (%) |
Модальные коэффициенты участия |
|||||||
|
рад/ сек |
Гц |
сек |
Х |
Y |
Z |
Х |
Y |
Z |
|||||
|
(кг)0,5 |
|||||||||||||
|
Модальный анализ |
1 |
0,203 |
4,916 |
0,782 |
1,278 |
0 |
71,842 |
0 |
35,310 |
37,821 |
48,386 |
||
|
2 |
0,191 |
5,224 |
0,831 |
1,203 |
70,394 |
0 |
0 |
37,438 |
10,788 |
77,350 |
|||
|
3 |
0,166 |
6,039 |
0,961 |
1,040 |
0,143 |
0,106 |
0 |
44,344 |
33,510 |
62,570 |
|||